- 
        
      	
Übersicht biologische Oxidation
       
      - 
        
      	
Oxidation
       
      - 
        
      	
Reduktion
       
      - 
        
      	
Redoxreaktion
       
      - 
        
      	
Auszug aus der Spannungsreihe
       
      - 
        
      	
Funktionsweise von Coenzymen
       
      - 
        
      	
Lösliche Coenzyme
       
      - 
        
      	
Prosthetische Gruppen
       
      - 
        
      	
Struktur von NAD+ und NADP+
       
      - 
        
      	
Nicotinsäureamid
       
      - 
        
      	
Absorptionsspektrum von NAD+ und NADP+
       
      - 
        
      	
Hydrid-Ionen-Transport durch NAD+/NADP+
       
      - 
        
      	
Struktur von FMN und FAD
       
      - 
        
      	
Liponsäure
       
      - 
        
      	
FMN und FAD: oxidierte und reduzierte Form
       
      - 
        
      	
Ubichinon und Ubichinol
       
      - 
        
      	
Häm oxidiert <=> Häm reduziert
       
      - 
        
      	
ATP-Molekül
       
      - 
        
      	
ATP im Zentrum des Energiestoffwechsels
       
      - 
        
      	
Struktur einer Fettsäure
       
      - 
        
      	
Thiaminpyrophosphat
       
      - 
        
      	
Essigsäure + CoA = Acetyl CoA
       
      - 
        
      	
Fettsäure + CoA = Acyl CoA
       
      - 
        
      	
Umwegsstrategie, veranschaulicht
       
      - 
        
      	
Malat-Aspartat-Shuttle
       
      - 
        
      	
Malat-Aspartat-Shuttle, beteiligte Moleküle
       
      - 
        
      	
Glycerophosphat-Shuttle
       
      - 
        
      	
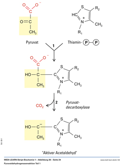
Pyruvatdehydrogenasereaktion Teil 1
       
      - 
        
      	
Pyruvatdehydrogenasereaktion Teil 1
       
      - 
        
      	
Pyruvatdehydrogenasereaktion Teil 3
       
      - 
        
      	
Pyruvatdehydrogenasereaktion komplett
       
      - 
        
      	
Pyruvatdehydrogenasereaktion: Regulation
       
      - 
        
      	
Citratzyklus, Überblick
       
      - 
        
      	
Citratzyklus, Schema
       
      - 
        
      	
Grundgerüst Modell Citratzyklus
       
      - 
        
      	
Citratzyklus, Schritt 1
       
      - 
        
      	
Citratzyklus, Schritt 2
       
      - 
        
      	
Citratzyklus, Schritt 3
       
      - 
        
      	
Citratzyklus, Schritt 4
       
      - 
        
      	
Citratzyklus, Schritt 5
       
      - 
        
      	
Genauer Mechanismus der GTP-Synthese
       
      - 
        
      	
Citratzyklus Teil 1
       
      - 
        
      	
Citratzyklus, Schritt 8
       
      - 
        
      	
Citratzyklus, Schritt 6
       
      - 
        
      	
Citratzyklus, Schritt 7
       
      - 
        
      	
Citratzyklus Teil 2
       
      - 
        
      	
Citratzyklus gesamt
       
      - 
        
      	
Citratzyklus, anabole Aufgaben
       
      - 
        
      	
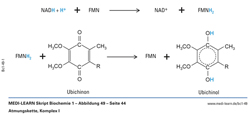
Atmungskette Modell, Stufe 1
       
      - 
        
      	
Atmungskette Modell, Stufe 2
       
      - 
        
      	
Atmungskette Modell, Stufe 3
       
      - 
        
      	
Atmungskette Modell, Stufe 4
       
      - 
        
      	
Atmungskette, der Weg durch Komplex I
       
      - 
        
      	
Atmungskette, Komplex I
       
      - 
        
      	
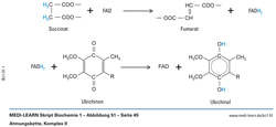
Atmungskette, Komplex II
       
      - 
        
      	
Atmungskette, der Weg durch Komplex II
       
      - 
        
      	
Atmungskette, der Weg durch Komplex III
       
      - 
        
      	
Atmungskette, Komplex III
       
      - 
        
      	
Atmungskette, der Weg durch Komplex IV
       
      - 
        
      	
Atmungskette, Komplex IV
       
      - 
        
      	
Atmungskette, Spannungsreihe nach Redoxpotenzial
       
      - 
        
      	
Atmungskette, Überträgermoleküle
       
      - 
        
      	
Atmungskette, Komplex V
       
      - 
        
      	
Weg durch die Atmungskette
       
      - 
        
      	
Atmungskette, Schwerpunkt Redoxreihe
       
      - 
        
      	
Atmungskette, Regulation
       
      - 
        
      	
Atmungskette, ATP/ADP-Translokase
       
      - 
        
      	
Hemmung der Atmungskette
       
      - 
        
      	
Atmungskette, Hemmstoffe
       
      - 
        
      	
Entkopplung der Atmungskette
       
      - 
        
      	
Atmungskette, Folgen der Entkopplung
       
      - 
        
      	
Entkoppler der Atmungskette
       
      - 
        
      	
ATP-Verbrauch bei Kontraktion
       
      - 
        
      	
Anaerobe Glykolyse
       
      - 
        
      	
Aerobe ATP-Gewinnung im Muskel
       
      - 
        
      	
Adenylat-Kinase-Reaktion
       
      - 
        
      	
Glykogenabbau im Muskel
       
      - 
        
      	
Regulation des Glykogenabbaus im Muskel
       
      - 
        
      	
Cori-Zyklus
       
      - 
        
      	
Alanin-Zyklus
       
      - 
        
      	
Myoglobin
       
      - 
        
      	
Hämoglobin
       
      - 
        
      	
Hämoglobin, O2-Bindungskurve
       
      - 
        
      	
Myoglobin, O2-Bindungskurve
       
      - 
        
      	
Muskelfasertypen