- 
        
      	
L-Aminosäure, D-Aminosäure
       
      - 
        
      	
Allgemeine Strukturformel von Aminosäuren
       
      - 
        
      	
Ableitung von Glycin aus der Grundstruktur der Aminosäuren
       
      - 
        
      	
Unterschiedliche Schreibweisen der Aminosäuren
       
      - 
        
      	
Ableitung von Alanin aus der Grundstruktur der Aminosäuren
       
      - 
        
      	
Thioesterbindung
       
      - 
        
      	
Wasserstoffbrückenbindung
       
      - 
        
      	
Disulfidbrücken in Insulin und IgG-Antikörper
       
      - 
        
      	
Imidazolgruppe
       
      - 
        
      	
Bindung des Eisens an Histidin
       
      - 
        
      	
Übersicht über die pK-Werte ausgewählter funktioneller Gruppen
       
      - 
        
      	
Isoelektrischer Punkt
       
      - 
        
      	
Isoelektrischer Punkt von Glycin
       
      - 
        
      	
Isoelektrischer Punkt von Lysin
       
      - 
        
      	
Strukturformel von Citrullin
       
      - 
        
      	
Strukturformel von GABA
       
      - 
        
      	
Strukturformel von Homocystein
       
      - 
        
      	
Strukturformel von Ornithin
       
      - 
        
      	
Strukturformeln der sauren Aminosäuren und ihrer neutralen Amide
       
      - 
        
      	
Strukturformeln der basischen Aminosäuren
       
      - 
        
      	
Strukturformeln der neutralen Aminosäuren
       
      - 
        
      	
Strukturformeln der schwefelhaltigen Aminosäuren
       
      - 
        
      	
Strukturformel von Selenocystein
       
      - 
        
      	
Strukturformeln der aromatischen Aminosäuren
       
      - 
        
      	
Strukturformeln der heterozyklischen Aminosäuren
       
      - 
        
      	
Strukturformel PALP
       
      - 
        
      	
GLDH-Reaktion
       
      - 
        
      	
Oxidative Desaminierung
       
      - 
        
      	
Eliminierende Desaminierung
       
      - 
        
      	
Transaminierung
       
      - 
        
      	
Bildung und Abbau biogener Amine
       
      - 
        
      	
Ketonkörper
       
      - 
        
      	
Einschleusung der Aminosäuren in den Citratzyklus
       
      - 
        
      	
Bindung von freiem Ammoniak (Ammoniakfixierung)
       
      - 
        
      	
GPT-Reaktion, Transaminierung Pyruvat g Alanin
       
      - 
        
      	
GOT-Reaktion, Oxalacetat g Aspartat
       
      - 
        
      	
Fixierung einer zweiten Ammoniakgruppe an Glutamat
       
      - 
        
      	
Alaninzyklus
       
      - 
        
      	
Harnstoffzyklus
       
      - 
        
      	
NO-Synthese
       
      - 
        
      	
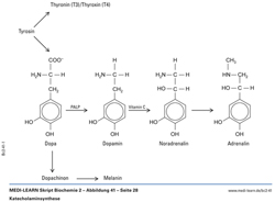
Phenylalanin/Tyrosin, Stoffwechsel
       
      - 
        
      	
Umwandlung von Fumarat zu Oxalacetat
       
      - 
        
      	
Phenylalanin/Tyrosin, Stoffwechsel
       
      - 
        
      	
Synthese von Adrenalin aus Noradrenalin
       
      - 
        
      	
Tryptophanstoffwechsel
       
      - 
        
      	
Serotoninsynthese
       
      - 
        
      	
GABA-Synthese
       
      - 
        
      	
Histaminsynthese
       
      - 
        
      	
Aspartatstoffwechsel
       
      - 
        
      	
Hydroxylysin und Hydroxyprolin
       
      - 
        
      	
Synthese von Cysteamin
       
      - 
        
      	
Peptidbindung
       
      - 
        
      	
Peptidbindungen im Oligopeptid
       
      - 
        
      	
Mesomerie der Peptidbindung
       
      - 
        
      	
Glutathion
       
      - 
        
      	
Glutathiondisulfid
       
      - 
        
      	
Wasserstoffbrückenbindung
       
      - 
        
      	
Hydrophobe Wechselwirkungen
       
      - 
        
      	
Hydrophobe Wechselwirkung in der Peptidkette
       
      - 
        
      	
Bausteine der Biomembran
       
      - 
        
      	
Elektronenmodell, ungeladen
       
      - 
        
      	
Elektronenmodell, geladen
       
      - 
        
      	
Anziehung temporärer Dipole
       
      - 
        
      	
Induktion eines Dipols
       
      - 
        
      	
Ionenbindung
       
      - 
        
      	
Primärstruktur
       
      - 
        
      	
?-Helix
       
      - 
        
      	
?-Faltblatt
       
      - 
        
      	
Tertiärstruktur
       
      - 
        
      	
Quartärstruktur
       
      - 
        
      	
Reaktionsmodell
       
      - 
        
      	
Aktives Zentrum
       
      - 
        
      	
Glucokinase-Reaktion
       
      - 
        
      	
Wirkungsweise von Isoenzymen
       
      - 
        
      	
Reaktionsablauf ohne Katalysator
       
      - 
        
      	
Reaktionsablauf mit Katalysator
       
      - 
        
      	
Abhängigkeit der Reaktionsgeschwindigkeit von der Substratkonzentration
       
      - 
        
      	
Modell enzymkatalysierte Reaktion
       
      - 
        
      	
Lineweaver-Burk-Diagramm
       
      - 
        
      	
Wirkungsweise kompetitiver Inhibitoren
       
      - 
        
      	
Kompetitive Hemmung im Michaelis-Menten-Diagramm
       
      - 
        
      	
Kompetitive Hemmung im Lineweaver-Burk-Diagramm
       
      - 
        
      	
Nichtkompetitive Hemmung im Michaelis-Menten-Diagramm
       
      - 
        
      	
Nichtkompetitive Hemmung im Lineweaver-Burk-Diagramm
       
      - 
        
      	
Wirkungsweise nichtkompetitiver Inhibitoren
       
      - 
        
      	
Wirkungsweise allosterischer Effektoren
       
      - 
        
      	
Sigmoidale Bindungskurve
       
      - 
        
      	
Allosterische Regulation, V-Typ
       
      - 
        
      	
Allosterische Regulation, K-Typ
       
      - 
        
      	
Hämoglobin
       
      - 
        
      	
Sauerstoffbindungskurve des Häm
       
      - 
        
      	
Wirkungsweise Interkonversion
       
      - 
        
      	
Enzym-Coenzym-Komplex
       
      - 
        
      	
Reaktion eines Coenzyms
       
      - 
        
      	
Reaktion einer prosthetischen Gruppe