- 
        
      	
Aldose und Ketose
       
      - 
        
      	
Strukturformel und Chiralitätszentren einer Aldohexose
       
      - 
        
      	
Chiralitätszentren von Pentosen und Hexosen
       
      - 
        
      	
D-Ribose
       
      - 
        
      	
D- und L-Glucose
       
      - 
        
      	
Glucose
       
      - 
        
      	
Galaktose
       
      - 
        
      	
Mannose
       
      - 
        
      	
Fructose
       
      - 
        
      	
Schreibweisen von Monosacchariden
       
      - 
        
      	
Glucose in der Sessel-Projektion
       
      - 
        
      	
Glucose in der Furanose- und Pyranoseform
       
      - 
        
      	
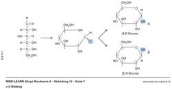
?-?-Bildung
       
      - 
        
      	
Konstitutionsisomere: Glucose/Fructose
       
      - 
        
      	
Stereochemie
       
      - 
        
      	
Epimere: Glucose/Galaktose
       
      - 
        
      	
Anomere: ?-/?-D-Glucose
       
      - 
        
      	
Enantiomere: D-/L-Glucose
       
      - 
        
      	
Systematischer Überblick über die Stereochemie
       
      - 
        
      	
?-(1,4)-glykosidische Bindung
       
      - 
        
      	
C1-Atom von Hexosen in Haworth-Projektion
       
      - 
        
      	
?-(1,4)-glykosidische Bindung
       
      - 
        
      	
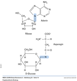
N-glykosidische Bindung
       
      - 
        
      	
?-(1-6)-glykosidische Bindung
       
      - 
        
      	
Saccharose
       
      - 
        
      	
Lactose
       
      - 
        
      	
Maltose
       
      - 
        
      	
?-Glucose-(1,4)-Glucose
       
      - 
        
      	
?-Glucose-(1,2)-?-Fructose
       
      - 
        
      	
Amylose
       
      - 
        
      	
Amylopektin
       
      - 
        
      	
Glykogen
       
      - 
        
      	
Cellulose
       
      - 
        
      	
Proteoglykan
       
      - 
        
      	
Mucopolysaccharide
       
      - 
        
      	
Disaccharideinheiten in Mucopolysacchariden
       
      - 
        
      	
Glykoprotein mit N- und O-glykosidischen Bindungen
       
      - 
        
      	
Funktion von N-Acetylneuraminsäure
       
      - 
        
      	
Verdauung und Nutzung der Kohlenhydrate
       
      - 
        
      	
Spaltung von Stärke
       
      - 
        
      	
Resorption von Glucose
       
      - 
        
      	
Sekundär aktive Glucoseresorption
       
      - 
        
      	
GLUT 4 in Abwesenheit von Insulin
       
      - 
        
      	
GLUT 4 in Anwesenheit von Insulin
       
      - 
        
      	
Übersicht Glykolyse
       
      - 
        
      	
Glykolyse
       
      - 
        
      	
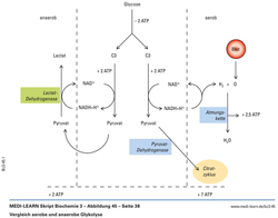
Vergleich aerobe und anaerobe Glykolyse
       
      - 
        
      	
Glutamat-Pyruvat-Transaminase
       
      - 
        
      	
Malat-Aspartat-Shuttle
       
      - 
        
      	
Schicksal des Pyruvats
       
      - 
        
      	
Lactatdehydrogenase-Reaktion
       
      - 
        
      	
Synthese von Fructose-2,6-Bisphosphat
       
      - 
        
      	
Regulation der Glykolyse
       
      - 
        
      	
Abbau ungeradzahliger Fettsäuren
       
      - 
        
      	
Umwandlung von Succinyl-CoA in Oxalacetat
       
      - 
        
      	
Gluconeogenese
       
      - 
        
      	
Übersicht Glykolyse
       
      - 
        
      	
Glucose-6-Phosphat als Substrat
       
      - 
        
      	
Glykogensynthese
       
      - 
        
      	
Glykogenolyse
       
      - 
        
      	
Wirkung von Glukagon auf den Glykogenstoffwechsel
       
      - 
        
      	
Wirkung von Insulin auf den Glykogenstoffwechsel
       
      - 
        
      	
Glucose-6-Phosphat als Substrat
       
      - 
        
      	
Pentosephosphatweg
       
      - 
        
      	
Galaktosestoffwechsel
       
      - 
        
      	
Fructosestoffwechsel
       
      - 
        
      	
Umwandlung von Glucose zu Fructose im Polyolweg