- 
        
      	
Ribose und Desoxyribose
       
      - 
        
      	
Struktur der Nukleotide
       
      - 
        
      	
Pyrimidinderivate
       
      - 
        
      	
Purinderivate
       
      - 
        
      	
PRPP
       
      - 
        
      	
Synthese von Carbamoylphosphat
       
      - 
        
      	
Atomherkunft der Pyrimidine
       
      - 
        
      	
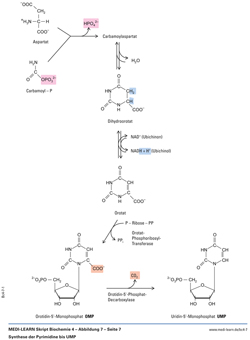
Synthese der Pyrimidine bis UMP
       
      - 
        
      	
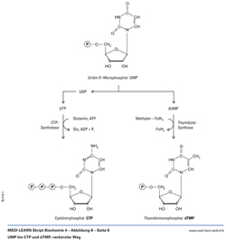
UMP bis CTP und dTMP; verkürzter Weg
       
      - 
        
      	
Hemmung der Pyrimidinbasen-Synthese
       
      - 
        
      	
Struktur Tetrahydrofolsäure
       
      - 
        
      	
Kurzer Weg der Purinbasen-Synthese
       
      - 
        
      	
Atomherkunft der Purinbasen
       
      - 
        
      	
Salvage Pathway
       
      - 
        
      	
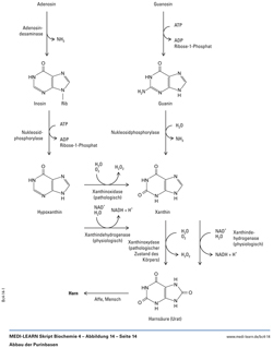
Abbau der Purinbasen
       
      - 
        
      	
Synthese der Desoxyribosen
       
      - 
        
      	
Auschnitt aus einem DNA-Einzelstrang
       
      - 
        
      	
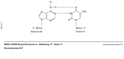
Basenpaarung A+T
       
      - 
        
      	
Basenpaarung C+G
       
      - 
        
      	
Keto- und Lactam-Form der Basen
       
      - 
        
      	
DNA-Doppelhelix
       
      - 
        
      	
Chromatin
       
      - 
        
      	
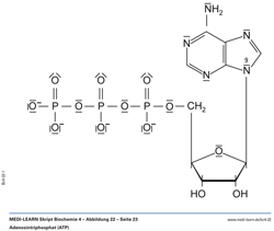
Adenosintriphosphat (ATP)
       
      - 
        
      	
Zellzyklus
       
      - 
        
      	
Regulation des Zellzyklus
       
      - 
        
      	
Signalwege der Apoptose
       
      - 
        
      	
Phosphatidylserin
       
      - 
        
      	
Freies 3´-OH-Ende
       
      - 
        
      	
Replikation in Schritten
       
      - 
        
      	
Mutationen
       
      - 
        
      	
Mechanismus der Transkription
       
      - 
        
      	
Spleißen
       
      - 
        
      	
Aufbau eines Promotors
       
      - 
        
      	
Transkriptionsfaktor mit Zinkfi nger
       
      - 
        
      	
Lac-Operon
       
      - 
        
      	
tRNA
       
      - 
        
      	
Aktivierung der Aminosäuren im Zytoplasma
       
      - 
        
      	
Initiationskomplex
       
      - 
        
      	
Elongation der Translation
       
      - 
        
      	
Termination der Translation
       
      - 
        
      	
Exportproteine Mechanismus
       
      - 
        
      	
Restriktionsendonukleasen mit Palindrom
       
      - 
        
      	
PCR
       
      - 
        
      	
Plasmide
       
      - 
        
      	
Gelelektrophorese
       
      - 
        
      	
Virale Onkogene
       
      - 
        
      	
Kollagenstruktur
       
      - 
        
      	
Kollagensynthese, intrazellulär
       
      - 
        
      	
Kollagensynthese, extrazellulär
       
      - 
        
      	
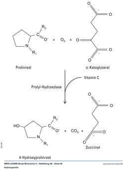
Hydroxyprolin
       
      - 
        
      	
Redoxsystem Vitamin C
       
      - 
        
      	
Extrazelluläre Matrix der Bindegewebe
       
      - 
        
      	
Aktivierung der Osteoklasten