- 
        
      	
Intrazellulärer Rezeptor
       
      - 
        
      	
Klassen von Membranrezeptoren
       
      - 
        
      	
G-Proteine
       
      - 
        
      	
G-Protein Kreislauf
       
      - 
        
      	
Gs-vermittelte Stimulation der Adenylatcyclase
       
      - 
        
      	
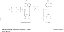
cAMP-Synthese
       
      - 
        
      	
Proteinkinase A
       
      - 
        
      	
Phosphodiesterase
       
      - 
        
      	
Gq-Kaskade am Beispiel des ?1-adrenergen Rezeptors
       
      - 
        
      	
Proteinkinase C
       
      - 
        
      	
Tyrosinkinasen
       
      - 
        
      	
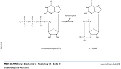
Guanylatcylase-Reaktion
       
      - 
        
      	
Membranständige und lösliche Guanylatcyclase
       
      - 
        
      	
Schnelle Stoffwechselregulation
       
      - 
        
      	
Insulinsynthese
       
      - 
        
      	
Glucose-Insulin
       
      - 
        
      	
Mechanismus der Insulinsekretion
       
      - 
        
      	
Insulinrezeptor
       
      - 
        
      	
Präproglukagon und seine Produkte
       
      - 
        
      	
Fructose-2,6-bisphosphatase
       
      - 
        
      	
Glykogenregulation
       
      - 
        
      	
Regulation der Lipase
       
      - 
        
      	
Strukturformel: Katechol
       
      - 
        
      	
Katecholaminbiosynthese
       
      - 
        
      	
Abbau der Katecholamine
       
      - 
        
      	
Hypothalamus-Hypophysen-Achse
       
      - 
        
      	
T3 und T4
       
      - 
        
      	
Synthese der Schilddrüsenhormone
       
      - 
        
      	
Reversives T3
       
      - 
        
      	
Nummerierung Cholesterin
       
      - 
        
      	
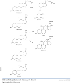
Synthese der Steroidhormone
       
      - 
        
      	
POMC
       
      - 
        
      	
Rhythmik der Cortisolfreisetzung
       
      - 
        
      	
Cortisol
       
      - 
        
      	
Testosteron
       
      - 
        
      	
Follikel
       
      - 
        
      	
Aromatase
       
      - 
        
      	
Progesteron
       
      - 
        
      	
Struktur der Hinterlappenhormone
       
      - 
        
      	
Aldosteron
       
      - 
        
      	
RAAS
       
      - 
        
      	
Übersicht Elektrolyte
       
      - 
        
      	
Histaminsynthese
       
      - 
        
      	
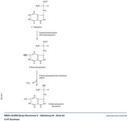
5-HT-Synthese
       
      - 
        
      	
NO-Synthese
       
      - 
        
      	
Eicosanoide
       
      - 
        
      	
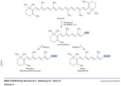
Vitamin A
       
      - 
        
      	
Netzhaut
       
      - 
        
      	
Hell- und Dunkelzustand
       
      - 
        
      	
Isomerisierung
       
      - 
        
      	
Transducin
       
      - 
        
      	
Calcitriol
       
      - 
        
      	
?-Tocopherol
       
      - 
        
      	
Vitamin K
       
      - 
        
      	
Thiamin
       
      - 
        
      	
Riboflavin
       
      - 
        
      	
Niacin
       
      - 
        
      	
NAD+ und NADP+
       
      - 
        
      	
Pyridoxin
       
      - 
        
      	
Cobalamin
       
      - 
        
      	
Folsäure
       
      - 
        
      	
Pantothensäure
       
      - 
        
      	
Ascorbinsäure
       
      - 
        
      	
Biotin