- 
        
      	
Hungerstoffwechsel
       
      - 
        
      	
Enterohepatischer Kreislauf der Gallensäuren
       
      - 
        
      	
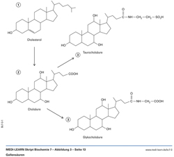
Gallensäuren
       
      - 
        
      	
Glucoseresorption im Darm
       
      - 
        
      	
Aufnahme der Mizellen in Enterozyten und Bildung von Chylomikronen
       
      - 
        
      	
Emulgierung der Nahrungsfette durch die Gallensäuren
       
      - 
        
      	
Verseifung
       
      - 
        
      	
Fettsäuren
       
      - 
        
      	
Isopren
       
      - 
        
      	
Vitamin A
       
      - 
        
      	
Sterangerüst
       
      - 
        
      	
Triacylglycerin
       
      - 
        
      	
Phosphatidsäure
       
      - 
        
      	
Lecithin
       
      - 
        
      	
Sphingosin
       
      - 
        
      	
Lipolyse und Fettspeicherung
       
      - 
        
      	
Fettsäureaktivierung
       
      - 
        
      	
Carnitin-Shuttle
       
      - 
        
      	
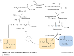
?-Oxidation
       
      - 
        
      	
Ketonkörper
       
      - 
        
      	
Ketogenese
       
      - 
        
      	
Ursachen gesteigerter Ketonkörperbildung. Dargestellt ist eine Leberzelle. a) Hungerzustand (mittelfristig) nach Verbrauch der Glykogenvorräte
b) Hungerzustand (langfristig) nach Hemmung des Citrat-Zyklus
       
      - 
        
      	
Ketonkörperverwertung
       
      - 
        
      	
Acetylgruppentransfer
       
      - 
        
      	
Fettsäuresynthese
       
      - 
        
      	
Acetyl-CoA-Carboxylasereaktion
       
      - 
        
      	
Triacylglycerinsynthese
       
      - 
        
      	
Cholesterin
       
      - 
        
      	
Stoffwechsel der Lipoproteine