• Atmungskette, der Weg durch Komplex II

  • Atmungskette, Schwerpunkt Redoxreihe

  • Weg durch die Atmungskette

  • Atmungskette, Komplex V

  • Atmungskette, Überträgermoleküle

  • Atmungskette, Spannungsreihe nach Redoxpotenzial

  • Atmungskette, Komplex IV

  • Atmungskette, der Weg durch Komplex IV

  • Atmungskette, Komplex III

  • Atmungskette, der Weg durch Komplex III

  • Atmungskette, Komplex II

  • Atmungskette, Regulation

  • Atmungskette, Komplex I

  • Atmungskette, der Weg durch Komplex I

  • Atmungskette Modell, Stufe 4

  • Atmungskette Modell, Stufe 3

  • Atmungskette Modell, Stufe 2

  • Atmungskette Modell, Stufe 1

  • Citratzyklus, anabole Aufgaben

  • Citratzyklus gesamt

  • Citratzyklus Teil 2

  • Citratzyklus, Schritt 8

  • Anaerobe Glykolyse

  • Myoglobin, O2-Bindungskurve

  • Hämoglobin, O2-Bindungskurve

  • Hämoglobin

  • Myoglobin

  • Alanin-Zyklus

  • Cori-Zyklus

  • Regulation des Glykogenabbaus im Muskel

  • Glykogenabbau im Muskel

  • Aerobe ATP-Gewinnung im Muskel

  • Adenylat-Kinase-Reaktion

  • Citratzyklus, Schritt 7

  • CK als Katalysator

  • ATP-Verbrauch bei Kontraktion

  • Entkoppler der Atmungskette

  • Atmungskette, Folgen der Entkopplung

  • Entkopplung der Atmungskette

  • Atmungskette, Hemmstoffe

  • Hemmung der Atmungskette durch Blausäure

  • Hemmung der Atmungskette durch Barbiturate

  • Atmungskette, ATP/ADP-Translokase

  • Absorptionsspektrum von NAD+ und NADP+

  • Essigsäure + CoA = Acetyl CoA

  • Fettsäure + CoA = Acyl CoA

  • Struktur einer Fettsäure

  • ATP im Zentrum des Energiestoffwechsels

  • ATP-Molekül

  • Häm oxidiert ? Häm reduziert

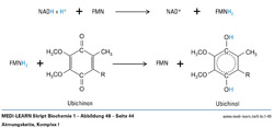
  • Ubichinon und Ubichinol

  • Liponsäure

  • FMN und FAD: oxidierte und reduzierte Form

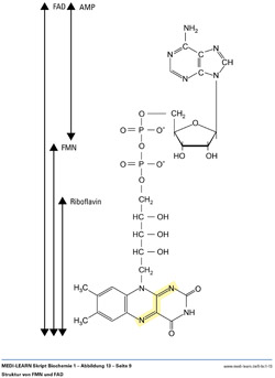
  • Struktur von FMN und FAD

  • Thiaminpyrophosphat

  • Hydrid-Ionen-Transport durch NAD+/NADP+

  • Nicotinsäureamid

  • Struktur von NAD+ und NADP+

  • Prosthetische Gruppen

  • Lösliche Coenzyme

  • Funktionsweise von Coenzymen

  • Auszug aus der Spannungsreihe

  • Redoxreaktion

  • Reduktion

  • Oxidation

  • Citratzyklus, Überblick

  • Citratzyklus, Schritt 6

  • Citratzyklus Teil 1

  • Genauer Mechanismus der GTP-Synthese

  • Citratzyklus, Schritt 5

  • Citratzyklus, Schritt 4

  • Citratzyklus, Schritt 3

  • Citratzyklus, Schritt 2

  • Citratzyklus, Schritt 1

  • Grundgerüst Modell Citratzyklus

  • Citratzyklus, Schema

  • Übersicht biologische Oxidation

  • Pyruvatdehydrogenasereaktion: Regulation

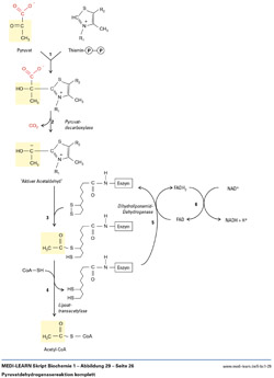
  • Pyruvatdehydrogenasereaktion komplett

  • Pyruvatdehydrogenasereaktion Teil 3

  • Pyruvatdehydrogenasereaktion Teil 2

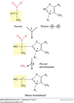
  • Pyruvatdehydrogenasereaktion Teil 1

  • Glycerophosphat-Shuttle

  • Malat-Aspartat-Shuttle, beteiligte Moleküle

  • Malat-Aspartat-Shuttle

  • Umwegsstrategie, veranschaulicht

Aufteilung nach Themen

Mathe/Physik

Die Webseite von MEDI-LEARN wird unterstützt von.

     © MEDI-LEARN 1996-2026