• Sekundär aktive Glucoseresorption

  • Schicksal des Pyruvats

  • Malat-Aspartat-Shuttle

  • Glutamat-Pyruvat-Transaminase

  • Vergleich aerobe und anaerobe Glykolyse

  • Glykolyse

  • Übersicht Glykolyse

  • GLUT 4 in Anwesenheit von Insulin

  • GLUT 4 in Abwesenheit von Insulin

  • Lactatdehydrogenase-Reaktion

  • Resorption von Glucose

  • Spaltung von Stärke

  • Verdauung und Nutzung der Kohlenhydrate

  • Funktion von N-Acetylneuraminsäure

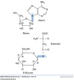
  • Glykoprotein mit N- und O-glykosidischen Bindungen

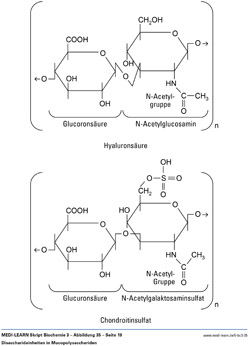
  • Proteoglykan

  • Disaccharideinheiten in Mucopolysacchariden

  • Glykogensynthese

  • Umwandlung von Glucose zu Fructose im Polyolweg

  • Fructosestoffwechsel

  • Galaktosestoffwechsel

  • Pentosephosphatweg

  • Glucose-6-Phosphat als Substrat

  • Wirkung von Insulin auf den Glykogenstoffwechsel

  • Wirkung von Glukagon auf den Glykogenstoffwechsel

  • Glykogenolyse

  • Mucopolysaccharide

  • Glucose-6-Phosphat als Substrat

  • Übersicht Glykolyse

  • Gluconeogenese

  • Umwandlung von Succinyl-CoA in Oxalacetat

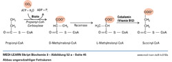
  • Abbau ungeradzahliger Fettsäuren

  • Regulation der Glykolyse

  • Synthese von Fructose-2,6-Bisphosphat

  • Fructose

  • Anomere: a-/ß-D-Glucose

  • Enantiomere: D-/L-Glucose

  • Stereochemie

  • Konstitutionsisomere: Glucose/Fructose

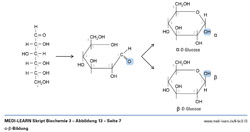
  • a-ß-Bildung

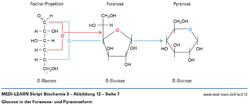
  • Glucose in der Furanose- und Pyranoseform

  • Glucose in der Sessel-Projektion

  • Schreibweisen von Monosacchariden

  • Epimere: Glucose/Galaktose

  • Mannose

  • Galaktose

  • Glucose

  • D- und L-Glucose

  • D-Ribose

  • Chiralitätszentren von Pentosen und Hexosen

  • Strukturformel und Chiralitätszentren einer Aldohexose

  • Aldose und Ketose

  • Systematischer Überblick über die Stereochemie

  • a-(1,4)-glykosidische Bindung

  • C1-Atom von Hexosen in Haworth-Projektion

  • ß-(1,4)-glykosidische Bindung

  • N-glykosidische Bindung

  • a-(1-6)-glykosidische Bindung

  • Saccharose

  • Lactose

  • Maltose

  • Maltose: a-Glucose-(1,4)-Glucose

  • Saccharose: a-Glucose-(1,2)-ß-Fructose

  • Amylose

  • Amylopektin

  • Glykogen

  • Cellulose

Aufteilung nach Themen

Mathe/Physik

Die Webseite von MEDI-LEARN wird unterstützt von.

     © MEDI-LEARN 1996-2026