• Import von Proteinen in den Zellkern

  • Replikation in Schritten

  • Mutationen

  • Mechanismus der Transkription

  • Spleißen

  • Aufbau eines Promotors

  • Transkriptionsfaktor mit Zinkfi nger

  • Lac-Operon

  • tRNA

  • Aktivierung der Aminosäuren im Zytoplasma

  • Initiationskomplex

  • Elongation der Translation

  • Termination der Translation

  • Exportproteine Mechanismus

  • Freies 3´-OH-Ende

  • Restriktionsendonukleasen mit Palindrom

  • PCR

  • Plasmide

  • Gelelektrophorese

  • Virale Onkogene

  • Kollagenstruktur

  • Kollagensynthese, intrazellulär

  • Kollagensynthese, extrazellulär

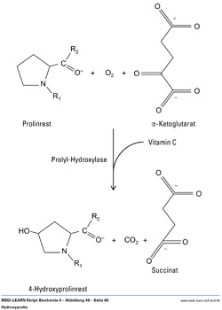
  • Hydroxyprolin

  • Redoxsystem Vitamin C

  • Extrazelluläre Matrix der Bindegewebe

  • Aktivierung der Osteoklasten

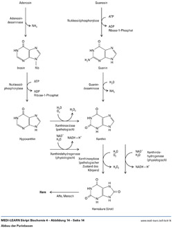
  • Abbau der Purinbasen

  • Ribose und Desoxyribose

  • Pyrimidinderivate

  • Purinderivate

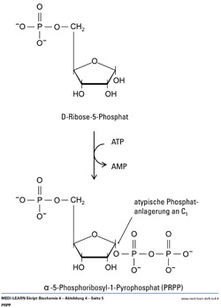
  • PRPP

  • Synthese von Carbamoylphosphat

  • Atomherkunft der Pyrimidine

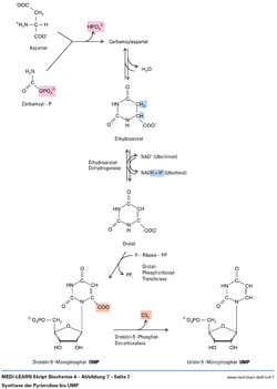
  • Synthese der Pyrimidine bis UMP

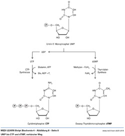
  • UMP bis CTP und dTMP; verkürzter Weg

  • Hemmung der Pyrimidinbasen-Synthese

  • Struktur Tetrahydrofolsäure

  • Kurzer Weg der Purinbasen-Synthese

  • Atomherkunft der Purinbasen

  • Salvage Pathway

  • Struktur der Nukleotide

  • Synthese der Desoxyribosen

  • Auschnitt aus einem DNA-Einzelstrang

  • Basenpaarung A+T

  • Basenpaarung C+G

  • Keto- und Lactam-Form der Basen

  • DNA-Doppelhelix

  • Chromatin

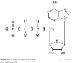
  • Adenosintriphosphat (ATP)

  • Zellzyklus

  • Regulation des Zellzyklus

  • Phosphatidylserin

  • Signalwege der Apoptose

Aufteilung nach Themen

Mathe/Physik

Die Webseite von MEDI-LEARN wird unterstützt von.

     © MEDI-LEARN 1996-2026