• Sphingosin

  • Stoffwechsel der Lipoproteine

  • Cholesterin

  • Triacylglycerinsynthese

  • Acetyl-CoA-Carboxylasereaktion

  • Fettsäuresynthese

  • Acetylgruppentransfer

  • Ketonkörperverwertung

  • Ursachen gesteigerter Ketonkörperbildung. Dargestellt ist eine Leberzelle. a) Hungerzustand (mittelfristig) nach Verbrauch der Glykogenvorräte b) Hungerzustand (langfristig) nach Hemmung des Citratzyklus

  • Ketogenese

  • Ketonkörper

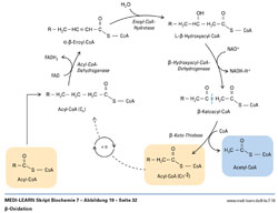
  • ß-Oxidation

  • Carnitin-Shuttle

  • Fettsäureaktivierung

  • Lipolyse und Fettspeicherung

  • Hungerstoffwechsel

  • Lecithin

  • Phosphatidsäure

  • Triacylglycerin

  • Sterangerüst

  • Vitamin A

  • Isopren

  • Fettsäuren

  • Verseifung

  • Emulgierung der Nahrungsfette durch die Gallensäuren

  • Aufnahme der Mizellen in Enterozyten und Bildung von Chylomikronen

  • Glucoseresorption im Darm

  • Gallensäuren

  • Enterohepatischer Kreislauf der Gallensäuren

Aufteilung nach Themen

Mathe/Physik

Die Webseite von MEDI-LEARN wird unterstützt von.

     © MEDI-LEARN 1996-2026