• Tetraeder Methanwinkel

  • Doppelbindungswinkel

  • Dreifachbindungswinkel

  • Alkane

  • Zickzackkette

  • n-Butan, Isobutan

  • Drei energetisch verschiedene Konformere des Butans in der Newman-Projektion

  • Sesselform, Wannenform

  • Axial, äquatorial an Sesselform

  • Ethen, Propen, Buten

  • Isolierte Doppelbindung

  • konjugierte Doppelbindung

  • Cis-Form (E-Konfi guration), Trans-Form (ZKonfiguration)

  • Hydrierung, Hydratisierung

  • Benzol

  • Benzolmesomerie

  • Positionen am Ring (ortho, meta, para)

  • C-Bezifferung

  • a, ß ... -C-Atom

  • Nukleophile Substitution

  • Hydrochinon/Chinon

  • Vitamin K

  • Grundstruktur Amine

  • Gleichgewicht NH2 ? NH3+

  • Reaktion quartäres Ammoniumsalz

  • Alkohol, Phenol

  • Methanol, Ethanol

  • Primär, sekundär und tertiär

  • Ethanol, Hydrochinon, Glycerol

  • Primärer, sekundärer, tertiärer Alkohol

  • Allgemeine Formel Ether

  • Alkylether

  • Ether-Bildung/Hydrolyse

  • Allgemeine Formel Aldehyde und Ketone

  • Oxidation Alkohol

  • Carbanion, Enolation

  • Keto-Enol-Tautomerie

  • Halbacetale

  • Acetal, Ketal

  • Cyclisches Halbacetal

  • Reaktionsmechanismus Aldehyd und primäres Amin

  • Acetaldehyd = Ethanal

  • Aldoladdition (basenkatalysiert)

  • Aldolkondensation

  • Aceton-Aldolkondensation

  • Carboxylgruppe

  • Ameisensäure

  • Essigsäure

  • Propionsäure

  • Buttersäure

  • Palmitinsäure (C16)

  • Stearinsäure (C18)

  • Bezifferung Carbonsäuren

  • a-Aminocarbonsäure, ß-Ketocarbonsäure, ?-Hydroxycarbonsäure

  • Dicarbonsäuren

  • Maleinsäure, Fumarsäure

  • Zitronensäure, Isocitrat

  • Milchsäure

  • Äpfelsäure

  • Oxalacetat

  • Pyruvat

  • Benzoesäure

  • Decarboxylierung

  • Estergruppe

  • Lacton

  • Esterbildung/saure Esterhydrolyse

  • Alkalische Esterhydrolyse

  • Carbonsäureamid (mesomeriestabilisiert)

  • Bildung Carbonsäureamide

  • Phosphorsäureester

  • Säureamidbindung mit primärem und sekundärem Amin

  • Penicillin-Grundstruktur

  • Carbonsäureanhydrid

  • Phosphorsäureanhydrid und Phosphor- Schwefelsäureanhydrid

  • Anhydrid, Ester, Ether

  • Schwefelverbindungen

  • Disulfid

  • Thioester

  • Folsäure

  • Pyridoxin

  • Thiamin

  • Carbonylgruppe (s. 2.7, S. 18)

  • Carboxylgruppe (s. 2.8, S. 22)

  • Amin, Alkohol, Ester

  • Carbonsäuren aus Citratzyklus

  • Ester- und Säureanhybridbindung

  • Ethanol, Dimethylether

  • Milchsäure – Enantiomere

  • D-/L-Glycerinaldehyd

  • D-/L-Reihe

  • Konfigurationen der Aldohexosen

  • a- und ß-Glucose

  • Weinsäure

  • Die Konfigurationsisomere der Weinsäure

  • Citrat

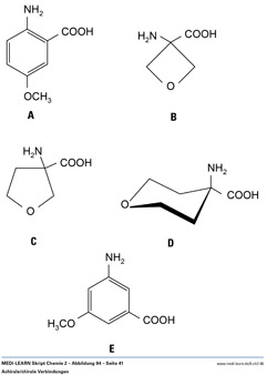
  • Achirale/chirale Verbindungen

  • Aminosäure Grundstruktur

  • Dihydroxyphenylalanin (L-DOPA)

  • Proteinogene Aminosäuren

  • Proteinogene Aminosäuren

  • Cystin

  • Zwitterion

  • Decarboxylierung

  • Transaminierung

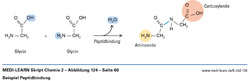
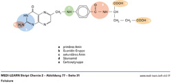
  • Peptidbindung

  • mesomere Grenzstrukturen einer Peptidbindung

  • Tripeptid

  • D-Glucose und D-Fructose

  • Drei Pentosen

  • Vier Hexosen

  • Halbacetalbildung a- und ß-Form

  • Zuckersäuren und -alkohole

  • Maltose, Lactose

  • Glycosidische Bindung (vereinfacht)

  • Saccharose

  • Cellulose

  • Stärke

  • Hyaluronsäure

  • Acarbose

  • Wichtige Fettsäuren

  • Wichtige Fettsäuren

  • Fette

  • Gonanring

  • Nukleinbasen

  • DANN

  • RNA

  • cAMP

  • Beispiel Peptidbindung

Aufteilung nach Themen

Mathe/Physik

Die Webseite von MEDI-LEARN wird unterstützt von.

     © MEDI-LEARN 1996-2026